마이노트
[일반화학]
0
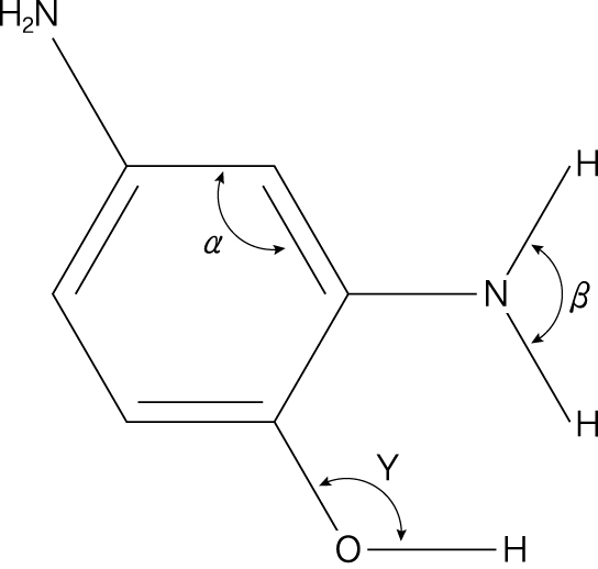
다음은 어떤 화합물의 구조식이다. 결합각 \alpha,\;\beta,\;\gamma의 크기를 옳게 비교한 것은?
1
\alpha < \beta < \gamma
오답
2
\alpha < \gamma < \beta
3
\beta < \alpha < \gamma
4
\beta < \gamma < \alpha
5
\gamma < \beta < \alpha
\alpha의 중심 C는 2개의 C와 1개의 H와 결합한 배위수 3이므로 약 120^\circ의 결합각을 가진다.
\beta의 중심 N은 1개의 C와 2개의 H와 비공유 전자쌍 1쌍이 있는 배위수 4이므로 약 107^\circ의 결합각을 가진다.
\gamma의 중심 O은 1개의 C와 1개의 H와 비공유 전자쌍 2쌍이 있는 배위수 4이므로 약 104.5^\circ의 결합각을 가진다.
커뮤니티 Q&A
위 문제와 관련된 게시글이에요.
이해가 안 되거나 궁금한 점이 있다면 커뮤니티에 질문해 보세요!