마이노트

[유기화학]

0

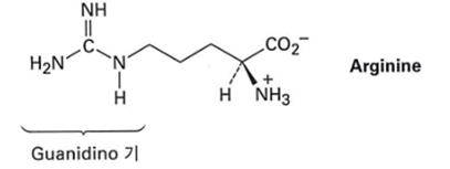
Arginine에 존재하는 guanidino기에 양성자가 첨가될 경우 생길 수 있는 공명구조는 총 몇가지인지 고르시오.

주요 공명기여자는 다음과 같이 네 가지로 볼 수 있다.
C=N 결합이 한쪽 N에 형성되고 나머지 N들은 단일결합형(양전하가 다른 N쪽으로 분산)
동일한 형태가 두 번째 N에 대해 형성된 기여자
동일한 형태가 세 번째 N에 대해 형성된 기여자
모든 N-C 결합이 부분적으로 등전기적으로 분포되어 양전하가 완전히 델로칼화된 기여자(대칭 분포 형태)

커뮤니티 Q&A

문제와 관련된 게시글이에요.

이해가 안 되거나 궁금한 점이 있다면 커뮤니티에 질문해 보세요!

게시글 작성하기