마이노트

[유기화학]

0

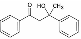
다음 유기분자내의 산성 수소가 몇개인지 고르시오.

카보닐 알파 수소의 경우 산성이고, 베타, 감마 수소의 경우 산성이 아니다. 또한 하이드록시기의 수소의 경우 산성수소에 해당한다.

커뮤니티 Q&A

문제와 관련된 게시글이에요.

이해가 안 되거나 궁금한 점이 있다면 커뮤니티에 질문해 보세요!

게시글 작성하기