마이노트
[유기화학]
0
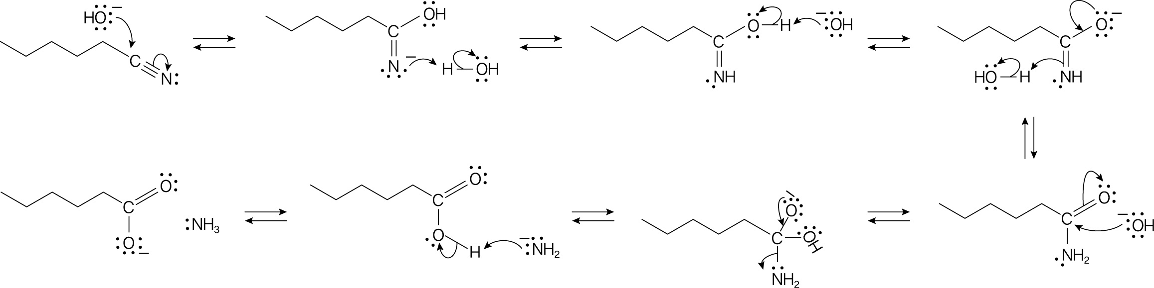
다음 반응에서 나타난 생성물을 얻기 위해 필요한 반응 시약을 고르시오.
1
\displaystyle \text{H}_2, \text{Pd/C}
오답
2
\displaystyle \text{SOCl}_2
3
\displaystyle \text{NaOH, H}_2\text{O}
4
\displaystyle \text{LiAlH}_4
5
\displaystyle \text{PCC}
니트릴(\displaystyle \text{C}\equiv\text{N})은 염기성 조건의 가수분해를 통해 카복실산염과 암모니아로 전환된다. 따라서 \displaystyle \text{NaOH}와 \displaystyle \text{H}_2\text{O}가 필요한 시약이다.
커뮤니티 Q&A
위 문제와 관련된 게시글이에요.
이해가 안 되거나 궁금한 점이 있다면 커뮤니티에 질문해 보세요!