마이노트

[유기화학]

0

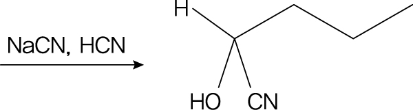
다음 생성물이 얻어지기 위해 \displaystyle \text{NaCN}\displaystyle \text{HCN}을 이용한 시안하이드린 형성 반응을 거쳤다.

이 생성물을 만들기 위한 반응물로 옳은 것을 고르시오.

\displaystyle \text{NaCN}\displaystyle \text{HCN}이 알데하이드나 케톤과 반응하면 시안하이드린이 형성된다. 생성물에서 하이드록시기와 시아노기가 붙어 있는 탄소는 원래 카보닐 탄소에 해당한다. 생성물의 골격을 기준으로 하면 원래 분자는 \displaystyle \text{CH}_3\text{CH}_2\text{CH}_2\text{CHO} 구조를 가진 부탄알이며 여기에 \displaystyle \text{CN}이 친핵 공격하고 \displaystyle \text{O}가 프로톤화되어 최종 생성물이 된다.

커뮤니티 Q&A

문제와 관련된 게시글이에요.

이해가 안 되거나 궁금한 점이 있다면 커뮤니티에 질문해 보세요!

게시글 작성하기