마이노트
[유기화학]
0
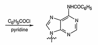
다음 생성물을 얻기 위한 반응물로 옳은 염기를 고르시오.
1
Adenine
오답
2
Cytosine
3
Guanine
4
Thymidine
5
Uracil
문제는 벤조일화 반응을 통해 생성된 생성물이 벤조일 아데닌(benzoyl adenine)일 때, 반응물로 사용된 염기를 묻고 있습니다.
벤조일화 반응은 일반적으로 아민기 (\text{NH}_2) 가 있는 염기와 벤조일 클로라이드( \text{C}_6\text{H}_5\text{COCl}) 이 반응하여 벤조일화된 염기를 생성합니다.
보기 중에서 아데닌(adenine)은 6번 위치에 아미노기(\text{NH}_2) 를 가지고 있어 벤조일화가 가능합니다.
커뮤니티 Q&A
위 문제와 관련된 게시글이에요.
이해가 안 되거나 궁금한 점이 있다면 커뮤니티에 질문해 보세요!