마이노트

[유기화학]

0

다음 반응 매커니즘명으로 옳은 것을 고르시오.

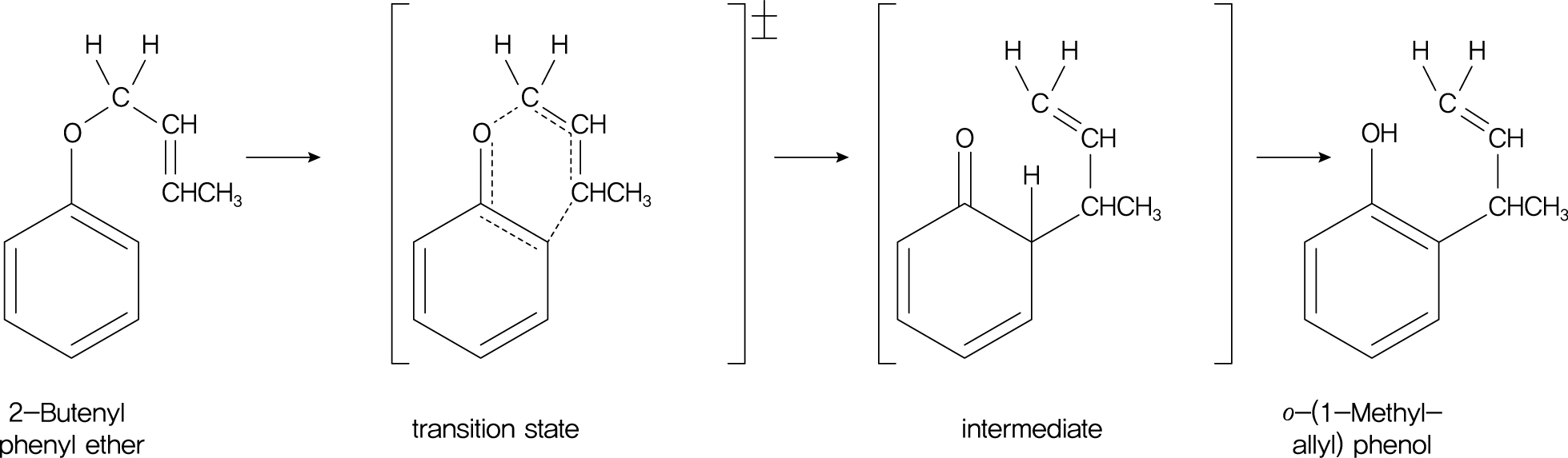
주어진 반응은 알릴 비닐 에터가 \displaystyle 3,3-자리옮김을 통해 방향족 고리의 오르토 위치로 이동하는 전형적인 \displaystyle \text{Claisen} 자리옮김이다. 이 반응에서는 에터의 산소와 알릴 그룹이 포함된 \displaystyle 6원 전이상태가 형성되며, 전자 이동이 동시에 일어나는 \displaystyle \text{pericyclic} 반응의 특징을 가진다. 전이상태를 거쳐 생성되는 구조는 카보닐 형태의 중간체이며, 이어서 엔올화와 방향족화가 일어나 최종적으로 \displaystyle \text{o-(1-Methylallyl)phenol}이 얻어진다. 이는 \displaystyle \text{Claisen rearrangement}의 대표적인 생성물 패턴과 완전히 일치한다.

따라서 이 반응의 올바른 메커니즘 명칭은 \displaystyle \text{Claisen} 자리옮김이다.

커뮤니티 Q&A

문제와 관련된 게시글이에요.

이해가 안 되거나 궁금한 점이 있다면 커뮤니티에 질문해 보세요!

게시글 작성하기