마이노트

[유기화학]

0

다음 반응의 반응물로 옳은 것을 고르시오.

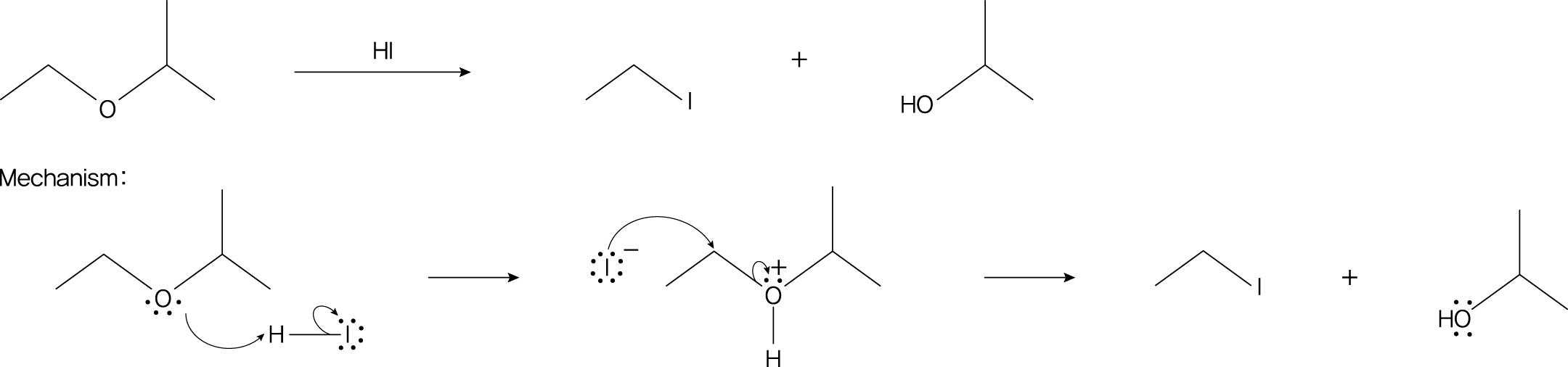
\displaystyle \text{HI}는 강한 산이면서 동시에 좋은 친핵체인 \displaystyle \text{I}^-를 제공하므로 에터를 산 분해하면 두 알킬 부분 중 하나가 알킬 아이오다이드로 바뀌고 다른 쪽은 알코올로 전환된다. 생성물 중 하나가 에틸 아이오다이드이기 때문에 에터의 한쪽은 반드시 에틸기여야 한다. 다른 생성물이 이소프로판올이므로 나머지 한쪽은 이소프로필기임을 알 수 있다. 따라서 이 반응을 거꾸로 추적하면 반응물은 \displaystyle \text{isopropyl ethyl ether}가 된다.

커뮤니티 Q&A

문제와 관련된 게시글이에요.

이해가 안 되거나 궁금한 점이 있다면 커뮤니티에 질문해 보세요!

게시글 작성하기