마이노트

[유기화학]

0

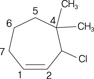
다음 사이클로알켄의 IUPAC 명으로 옳은 것을 고르시오.

모체는 7각고리 알켄인 cycloheptene이 된다. 알켄이 가장 낮은 번호인 1번이 부여되게 잡고 시계반대방향으로 탄소 번호를 부여하면 3번에는 Cl기, 4번에는 methyl기가 2개 달린 구조가 된다. 그러므로 3-chloro-4,4-dimethylcycloheptene가 된다.

커뮤니티 Q&A

문제와 관련된 게시글이에요.

이해가 안 되거나 궁금한 점이 있다면 커뮤니티에 질문해 보세요!

게시글 작성하기