마이노트
[유기화학]
0
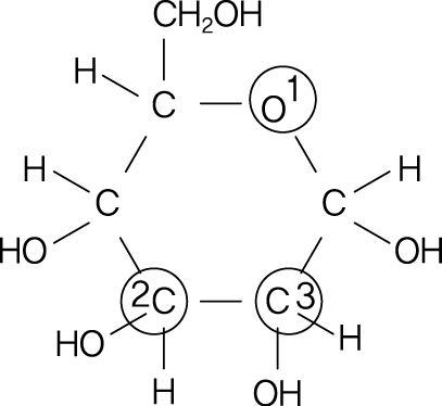
다음의 구조식에 대하여 옳지 않게 설명한 보기를 고르시오.
1
1번 O는 $sp^3$ 혼성이다.
오답
2
1번의 O에는 고립전자쌍이 2쌍 존재한다.
3
분자내 총 고립전자쌍은 11쌍이다.
4
2번 C는 $sp^3$ 혼성이다.
5
3번 C는 $sp^3$ 혼성이다.
분자내 O가 모두 6개 존재하므로 존재하는 총 고립전자쌍은 12쌍이다.
커뮤니티 Q&A
위 문제와 관련된 게시글이에요.
이해가 안 되거나 궁금한 점이 있다면 커뮤니티에 질문해 보세요!