마이노트
[유기화학]
0
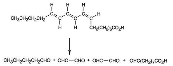
다음과 같은 반응을 진행하기 위한 시약으로 옳은 것을 고르시오.
1
\mathrm{KMnO_4}, 열
오답
2
\mathrm{\text{Br}_2}, \mathrm{CCl_4}
3
\mathrm{O_3}, (\mathrm{CH_3})_2\mathrm{S}
4
\mathrm{H_2}, Pd/C
5
HBr, 과산화물
이중결합을 산화적으로 절단하여 두 개의 카보닐 화합물(알데히드 또는 케톤)을 얻는 반응은 오존분해(ozonolysis)이다.
오존(\mathrm{O_3})을 처리한 후 환원적 work-up으로 (\mathrm{CH_3})_2\mathrm{S}(DMS)를 사용하면 원하는 산화 절단 생성물을 얻을 수 있다.\mathrm{KMnO_4}(①)는 과산화적 산화로 카복실산까지 산화될 수 있고,
\mathrm{\text{Br}_2}(②)는 단순 첨가 반응,
\mathrm{H_2}/Pd(④)는 수소화 반응,
HBr/과산화물(⑤)은 라디칼 첨가 반응으로 모두 이중결합 절단과는 무관하다.
커뮤니티 Q&A
위 문제와 관련된 게시글이에요.
이해가 안 되거나 궁금한 점이 있다면 커뮤니티에 질문해 보세요!