마이노트
[유기화학]
0
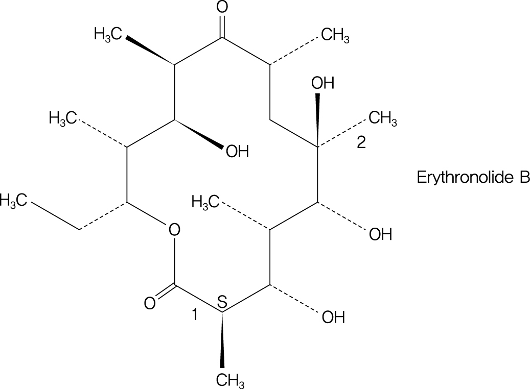
Erythronolide B에 대한 설명으로 틀린 것을 고르시오.
1
카이랄 중심의 개수는 10개이다.
오답
2
고립 전자쌍의 개수는 14쌍이다.
3
광학 활성이다.
4
표시된 1번 탄소는 R배열이다.
5
표시된 2번 탄소는 S배열이다.
카이랄중심은 10개, O가 총 7개이므로 가진 고립 전자쌍은 14쌍이다. 카이랄성물질, 광학활성이다. 표시된 2번 탄소는 R배열이다.
커뮤니티 Q&A
위 문제와 관련된 게시글이에요.
이해가 안 되거나 궁금한 점이 있다면 커뮤니티에 질문해 보세요!