마이노트
[유기화학]
0
각분자의 카이랄 중심의 개수가 바르게 짝지어진 보기를 고르시오.
a
b
1
2개, 2개
오답
2
1개, 2개
3
1개, 3개
4
2개, 3개
5
3개, 3개
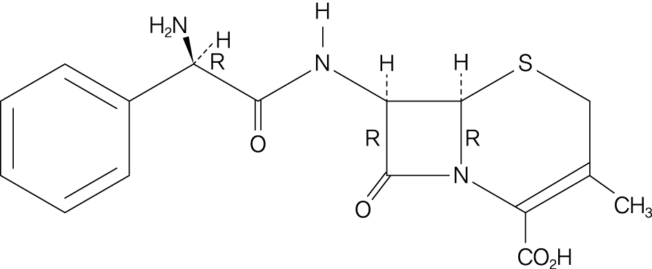
a는 1개 b는 아래의 구조식을 참고하면 3개이다.
커뮤니티 Q&A
위 문제와 관련된 게시글이에요.
이해가 안 되거나 궁금한 점이 있다면 커뮤니티에 질문해 보세요!