마이노트
[유기화학]
0
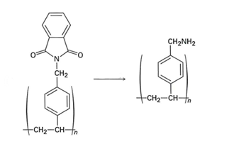
다음 중 프탈이미드를 1차 아민(\text{CH₂NH₂})으로 전환하기 위한 시약으로 가장 적절한 것은?
1
\text{HNO₃}
오답
2
\text{LiAlH₄}
3
\text{NH₂OH}
4
\text{Hydrazine (N₂H₄)}
5
\text{NaBH₄}
프탈이미드를 1차 아민으로 전환하는 대표적인 반응은 Gabriel 합성법입니다. 이 반응에서 Hydrazine(\text{N₂H₄})은 프탈이미드를 환원적으로 열어 1차 아민(\text{CH₂NH₂})을 생성합니다.
\text{LiAlH₄}나 \text{NaBH₄}는 강한 환원제지만 프탈이미드의 선택적 개환에는 적합하지 않습니다.
\text{NH₂OH}은 옥심 형성에 사용되며, \text{HNO₃}는 산화제로서 해당 반응과 관련이 없습니다.
커뮤니티 Q&A
위 문제와 관련된 게시글이에요.
이해가 안 되거나 궁금한 점이 있다면 커뮤니티에 질문해 보세요!