마이노트
[유기화학]
0
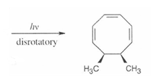
다음의 반응의 반응물을 옳은 것을 고르시오.
1
1,3,5-Hexatriene
오답
2
cis,cis-1,3,5-Hexatriene
3
trans,trans-1,3,5-Hexatriene
4
cis,cis-1,3,5,7-Octaetraene
5
(2E,4Z,6Z,8E)-2,4,6,8-Decatetraene
이 반응은 빛(\text{hν})에서 진행되는 전기고리화(electrocyclic) 반응으로, 문제에 명시된 대로 photochemical disrotatory 규칙을 따릅니다.전기고리화의 선택규칙에 따르면 광화학 조건에서는 4n+2π 전자계를 갖는 폴리엔이 disrotatory로 고리 닫힘을 일으킵니다.
⑤번 (2E,4Z,6Z,8E)-2,4,6,8-decatetraene는 10 전자(n=2인 4n+2 시스템)를 가지므로 광화학적 disrotatory 경로에 정확히 부합합니다.
커뮤니티 Q&A
위 문제와 관련된 게시글이에요.
이해가 안 되거나 궁금한 점이 있다면 커뮤니티에 질문해 보세요!