마이노트
[유기화학]
0
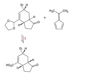
박테리아 독소인 coronafacic acid가 합성되는 과정 중 포함되는 페리고리 협동 반응으로 옳은 것을 고르시오.
1
[1,3]-sigmatropic rearrangement
오답
2
Diels-Alder reaction
3
[3,3]-sigmatropic rearrangement
4
Nucleophilic substitution
5
Radical polymerization
Diels-Alder 반응은 1,3-다이엔(diene)과 알켄(또는 알카인)이 결합하여 6원 고리 화합물을 형성하는 [4+2] cycloaddition반응입니다.
커뮤니티 Q&A
위 문제와 관련된 게시글이에요.
이해가 안 되거나 궁금한 점이 있다면 커뮤니티에 질문해 보세요!