마이노트
[유기화학]
0
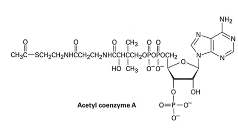
Acetyl coenzyme A에 존재하는 당으로 옳은 것을 고르시오.
1
D-glucose
오답
2
2-deoxy-D-ribose
3
D-ribofuranose
4
D-fructose
5
D-mannose
Acetyl-CoA에는 아데노신(adenosine) 부분이 있고, 아데노신의 당은 리보스형태이며 고리 구조로 존재할 때는 리보퓨라노오스(D-ribofuranose)로 표기한다.
커뮤니티 Q&A
위 문제와 관련된 게시글이에요.
이해가 안 되거나 궁금한 점이 있다면 커뮤니티에 질문해 보세요!