마이노트
[유기화학]
0
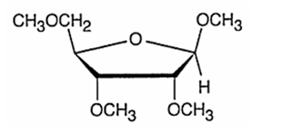
\beta-D-ribofuranose로부터 다음과 같은 생성물을 얻었을 때 적절한 시약을 고르시오.
1
HCl, MeOH , then NaH, MeI
오답
2
CH_3I, Ag_2O
3
NaBH_4, MeOH
4
Me_2SO_4, K_2CO$_3
5
TsCl, pyridine then MeOH, HCl
CH_3I/Ag_2O는 선택적 산소 메틸화(Williamson-type O-methylation) 조건으로, 1'-3' 위치의 알코올들을 에터화하여 O-메틸기를 도입할 수 있다.
커뮤니티 Q&A
위 문제와 관련된 게시글이에요.
이해가 안 되거나 궁금한 점이 있다면 커뮤니티에 질문해 보세요!