마이노트
[유기화학]
0
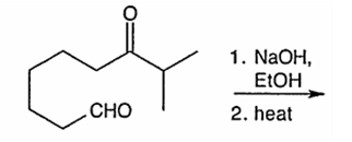
다음 반응의 생성물로 적절한 것을 고르시오.
1
3-메틸사이클로헥스-2-엔-1-온
오답
2
3-하이드록시-3-메틸사이클로헥산-1-온
3
1-(프로판-2-일)사이클로헥산
4
디(사이클로헥실)프로판-1,3-디온
5
반응 없음
염기(NaOH)에서 엔올레이트가 형성되어 같은 분자의 알데하이드에 친핵첨가하여 β-하이드록시케톤(알돌 중간체)을 만든다.
가열하면 중간체는 탈수되어 공액된 α,β-불포화 케톤(3-메틸사이클로헥스-2-엔-1-온)이 주로 생성된다.
커뮤니티 Q&A
위 문제와 관련된 게시글이에요.
이해가 안 되거나 궁금한 점이 있다면 커뮤니티에 질문해 보세요!