마이노트

[유기화학]

0

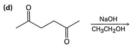
이 반응과 유형이 다른것을 고르시오.

①②④⑤는 모두 염기에 의해 β-케토에스터 또는 유사한 전구체에서 베타-케토에스터의 가수분해, 에스테르 교환, 또는 베타-케톤 결합의 분해·알킬화/탈포도화에 직접 연관되는 반응 조건이거나 강염기/수성/알코올성 조건으로 베타-케토에스터의 전환을 유도한다.

③번은 NaH로 엔올레이트를 만들고 MeI로 직접 알파-메틸화하는 전형적 알파-알킬화 조건으로, 원래 문제에서 의도한 염기 및 촉매 하의 분해·교환·클라이젠 경로와 반응 유형이 다르다.

커뮤니티 Q&A

문제와 관련된 게시글이에요.

이해가 안 되거나 궁금한 점이 있다면 커뮤니티에 질문해 보세요!

게시글 작성하기