마이노트
[유기화학]
0
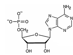
체내 생화학적 경로 중간체인 다음 물질로서 적절한 것을 고르시오.
1
GMP (구아노신 일인산)
오답
2
CMP (시티딘 일인산)
3
AMP (아데노신 일인산)
4
TMP (티미딘 일인산)
5
UMP (유리딘 일인산)
다음 구조의 염기가 Adenine에 해당한다. AMP는 에너지 대사(ATP 생성), 신호 전달(cAMP), 뉴클레오타이드 대사 등 다양한 생화학적 경로에서 핵심적인 중간체로 작용합니다.
커뮤니티 Q&A
위 문제와 관련된 게시글이에요.
이해가 안 되거나 궁금한 점이 있다면 커뮤니티에 질문해 보세요!